ShiLiQiYe
Bioincloud
{示例企业}生科云
关
键词1
标语1.........(这是一段可以配置的话)
arrow_left
arrow_right
menu
生科云,AI4S探路者
首页
SVG编辑器
微信登录
账号登录
person
lock_open
云流程
云流程基本介绍
linear_scale
我的流程
查看和使用云流程
云工具
所有工具的索引
我的任务
云工具的任务状态
关于我们
{示例企业}介绍
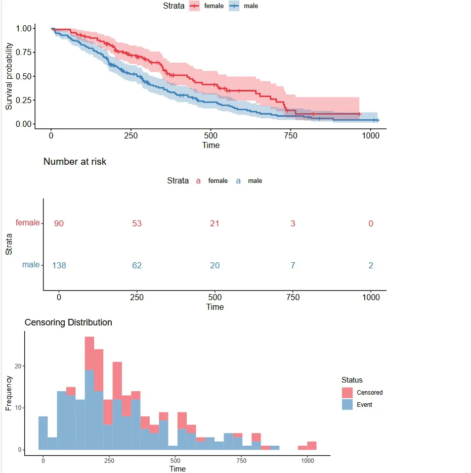
Cox生存分析
使用Cox比例风险模型通过考察自变量(协变量)对生存时间的影响,计算各变量的风险比(Hazard Ratio, HR),从而判断其对事件发生风险的相对影响。
tips_and_updates
想了解更多?您还可以
查阅右上角
使用说明
,
查阅相关流程示例
结题报告
,或问问
{示例企业}AI
生存分析输入表:
help
制表符分隔的文本文件表格;制表符分隔的文本文件表格;第一列为样本名、ID编号等(不可重复); 第二列为删失状态,二分类变量(删失,出现终点事件);第三列为生存时间列
选择输入文件
folder_open
示例
cloud_download
输入文件预览和编辑
fullscreen
archive
请选择输入文件
是否添加置信区间:
是否添加风险表:
是否添加删失数据表:
任务备注:
help
0-20个字母,数字,下划线或汉字的组合
mail
任务完成时发邮件提醒我
提交任务
help
使用说明
加载中...